Deovrat Prasad

Assistant Professor | Department of Physics | CUSB, India

Profile Picture

I am a computational astrophysicist specialising in numerical modelling of the evolution of galaxies, groups and clusters at low and intermediate redshift. Starting May 2026, I am an Assistant Professor in the Department of Physics at Central University of South Bihar . Earlier, I was a postdoctoral fellow at Cardiff University from November 2022 to June 2025 and at Michigan State University, US between July 2018 to June 2022. I completed my PhD from Indian Institute of Science Bangalore, India in 2018.

Profile

  • Fullname: Deovrat Prasad
  • Job: Assistant Professor
  • Email: deovrat987@gmail.com deovrat@cusb.ac.in deovratd@cardiff.ac.uk
  • GitHub : https://github.com/DeovratPrasad
  • Social Media LinkedIn
  • Address Aryabhatt Bhavan, Dept. of Physics
    Central University of South Bihar
    Gaya, India 824236

Research Interests

Active Galactic Nuclei Feedback

Accretion on Super Massive Black Hole

Baryon cycles in Galaxies, Groups, and Clusters

Evolution of Circumgalactic and Intracluster Medium

Computational Astrophysics

Publications

  • ADS
  • Google Scholar
  • Resume

    Work Experience

    Assistant Professor

    May 2026 - Current

    Central University of South Bihar, India

    Currently working as Assistant Professor in Department of Physics at CUSB, India.

    Postdoctoral Fellow

    Nov 2022 - June 2025

    Postdoctoral Fellow

    July 2018 - June 2022

    Education

    Doctoral Degree

    August 2012 - April 2018

    Indian Institute of Science, Bangalore, India

    I worked with Prof. Prateek Sharma on 'AGN Feedback in Galaxy Clusters' in Astrophysics. Prof. Arif Babul (Univ. of Victoria, Canada) was also closely involved with my thesis work.

    Integrated Master of Science

    September 2007 - April 2012

    University of Mumbai, Mumbai, India

    I completed Integrated MSc (5 years programme) from Centre for Excellence in Basic Sciences, where I was awarded degree in Physics.

    Research Projects

    Cold mode AGN feedback in cosmological simulations

    mag_field

    Most cosmological simulations that have implemented AGN feedback to study the evolution of massive galaxies use a spherically symmetric steady accretion model, also called `Bondi' model. The conditions for `Bondi’ accretion are at odds with the multiphase gas with angular momentum observed in several star forming galaxies. Bondi-mode feedback needs to be artificially boosted, which makes the simulations explosive and leading to frequent extreme heating and extreme cooling phases. On the other hand, cold-mode AGN feeedback, where amount of cold gas condensing from hot intracluster or circumgalactic medium determines the AGN power, is tightly coupled to the presence of cold gas in the core. That allows the AGN feedbvack to better regulate the star formation and leads to more realistic evolution of massive galaxies. Currently, I am engaged in a project to study the evolution of massive galaxies using the cold-mode AGN feedback under cosmological conditions.

    Papers :

  • Figuring Out Gas & Galaxies In Enzo (FOGGIE). IV. The Stochasticity of Ram Pressure Stripping in Galactic Halos, Simons R. C.et al. (including Prasad D.), 2020, ApJ, 905, 167

  • Role of magnetic fields in the heating - cooling cycle in galaxies, groups and clusters

    mag_field

    This project focuses on the impact of magnetic fields on AGN-CGM/ICM coupling, with the goal of quantifying jet energetics and their role in shaping multiphase gas dynamics. This is a multi-institution INCITE project, which employs very high resolution 3D-MHD simulations to study AGN feedback across a range of halo masses from massive galaxies to galaxy clusters. This project exploits the scalability of AthenaPK, a GPU based MHD code, to carry out very intensive computations on exascale high performance computing facilities.

    Papers :

  • XMAGNET : Kinetic, Thermal and Magnetic AGN Feedback in Massive Galaxies at Halo Masses ∼ 10^13.5 M⊙, Prasad D. et al., 2026, MNRAS, 545, 1–18

  • XMAGNET: Velocity structure functions of AGN-driven turbulence in the multiphase intracluster medium, Fournier M. et al. (including Prasad D.), 2025, A&A, 698, A121

  • The XMAGNET Exascale MHD simulations of SMBH feedback in galaxy groups and clusters: Overview and preliminary cluster results, Grete P. et al. (including Prasad D.) , 2025, ApJ, 988, 155

  • Role of environmental factors on black hole feedback in massive galaxies

    atmos_circ

    In the universe’s most massive galaxies the active galactic nucleus (AGN) feedback is the principle mechanism to quench star formation. However, the ability of AGN feedback to self-regulate may depend on numerous environmental factors, including the depth of the potential well and the pressure of the surrounding circumgalactic medium (CGM). Using very high resolution hydrodynamic simulations I study the interplay between supernova sweeping of the ejected stellar mass, AGN heating of the circumgalactic medium (CGM) and the CGM pressure as these massive galaxies not at the center of galaxy clusters evolve.

    Papers :

  • Atmospheric Circulation in Simulations of the AGN-CGM Connection at Halo Masses ~ 10^13.5 M⊙, Prasad D., Voit M. and O’Shea B., 2022, ApJ, 932, 18

  • Environmental Dependence of Self-Regulating Black-hole Feedback in Massive Galaxies, Prasad D. et al., 2020, ApJ, 905, 50

  • A Black-Hole Feedback Valve in Massive Galaxies, Voit M., Bryan G., Prasad D. et al., 2020, ApJ, 899, 70

  • Evolution of most massive galaxy clusters at low redshift

    a2029

    The most massive cool-core clusters (M200 ≳ 10^15 M⊙), are known to host some of the largest known SMBHs. My work explores how SMBH mass and cluster growth history influence the balance between hot-mode and cold-mode accretion, with implications for the long term stability of feedback cycles in these extreme systems.

    Papers :

  • The Case for Hot-Mode Accretion in Abell 2029, Prasad D., Voit M. & O’Shea B., 2024, MNRAS, 531, 259

  • Cool-Core Cycles and Phoenix, Prasad D. et al., 2020, MNRAS, 495, 594

  • Numerical Implementation of Anisotropic Thermal Conduction

    TI_AnIso

    An important ingredient in numerical modelling of high temperature magnetised astrophysical plasmas is the anisotropic transport of heat along magnetic field lines from higher to lower temperatures. Super-time-stepping method is an approach in which a particular stability polynomial can be employed to construct an explicit multi-stage time-stepping scheme that allows us to overcome the stability criterion typically associated with explicit methods. I worked with my collaborators on the implementation and testing of the Runge-Kutta-Legendre super-time-stepping method for aniotropic thermal conduction.

    Papers :

  • Scalable explicit implementation of anisotropic diffusion with Runge-Kutta-Legendre super-time-stepping, Vaidya B., Prasad D. et al., 2017, MNRAS, 472, 3147

  • AGN feedback in cool-core galaxy clusters

    baryon_cycle_projection

    In galaxy clusters, most of the baryons are in a hot diffused plasma state called the intra-cluster medium (ICM). In roughly a third to half of the clusters, the radiative cooling time of the ICM in the core is smaller than the cluster age. If absence of any heating mechanism, radiative cooling of the plasma in the ICM will result in a cooling flow rate of several 100 M⊙/yr which would fuel very high rate of star formation. But observations show that star formation rate is roughly 10% of the expected value. What controls the cooling rate and subsequently the star formation in galaxy clusters? My research explores the interplay between radiative cooling and AGN heating through momentum-driven AGN jets using numerical simulations.

    Papers :

  • Cool-Core Clusters : Role of BCG, Star Formation & AGN-Driven Turbulence, Prasad D., Sharma P., & Babul A., 2018, ApJ, 863, 62

  • AGN jets driven stochastic cold accretion in cluster cores, Prasad D., Sharma P., & Babul A., 2017, MNRAS, 471, 1531

  • Cool core cycles: Cold gas and AGN jet feedback in cluster cores, Prasad D., Sharma P., & Babul A., 2015, ApJ, 811, 108

  • Teaching

    Energy and Gas in Interstellar Space, Guest Lecturer, Graduate Course, Cardiff University, Instructor Dr. Tim Davis ( Spring semester 2025)

    Introduction to Astrophysics, Co-Instructor, Undergraduate course, Cardiff University, Co-teaching with Mathew Smith ( Spring semester 2024)

    Energy and Gas in Interstellar Space, Guest Lecturer, Graduate Course, Cardiff University, Instructor Tim Davis ( Spring semester 2024)

    Introduction to Astrophysics, Co-Instructor, Undergraduate course, Cardiff University, Co-teaching with Mathew Smith ( Spring semester 2023)

    Electricity, Magnetism and Optics, Teaching Assistant, Undergraduate course, IISc, taught by Tarun D. Saini . (January - April, 2015)

    Fluids and Plasma, Teaching Assistant, Graduate course, IISc, taught by Prateek Sharma . (August - November, 2014)

    Mentorship

    Kobe Richards (Cardiff University), co-Mentor, annual project (September 2024 - May2025)

    Sebastian Lacayo (Florida International University), co-Mentor, ACRES 2019 summer program, (May-July 2019)

    Major Collaborations

    Ongoing Collaborations :- xMAGNET

    Past Collaborations :- FOGGIE

    Research Snippets

    Role of magnetic Field in AGN-CGM interaction

    spg-mpg-cluster-2020 Xmag_spg-mpg-2025

    (Upper Panels) Magnetic field strength slice at t = 0.2 Gyr (left), 0.5 Gyr (middle), and 0.8 Gyr (right) for the MPG-MHD run. Magnetic fields concentrate along the jet axis, while they decline in strength at larger radii. (Lower Panels) Thin slice showing the kinetic to thermal energy ratio in the CGM for the MHD multiphase galaxy (M_{200} ~ 4x10^{13} Msun) run at the same times as upper panels. As time progresses the jet cone becomes more and more kinetically dominated, showing that the rise in magnetif field strength along jet axis is providing addition collimation to the jets allowing it to travel farther before thermalising.[Prasad et al., 2026, MNRAS, 545, 1]

    Black hole Feedback Valve in Massive Galaxies

    spg-mpg-cluster-2020

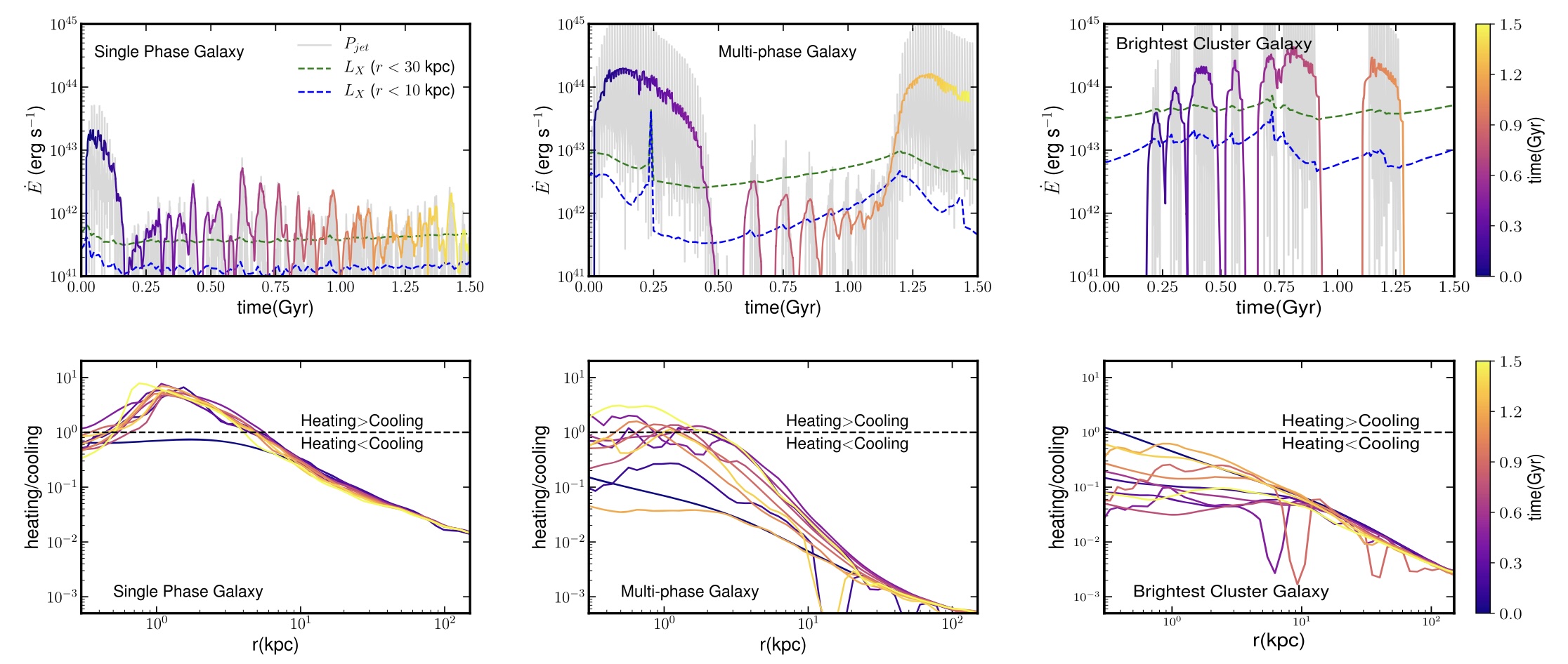
    (Top panels) jet power (Pjet ) and X-ray luminosity (0.5 – 7 keV) as functions of time for simulations of the Single Phase Galaxy (M_{200} ~ 4x10^13 Msun; left), Multiphase Galaxy (M_{200}~4x10^{13} Msun; middle), and Brightest Cluster Galaxy ( M_{200, halo} ~ 7x10^{14} Msun; right) with AGN feedback. Gray lines show instantaneous jet power , and solid lines with changing color with time show jet power smoothed on a 20 Myr timescale. Dashed lines show radiative losses from the inner 10 kpc (blue) and inner 30 kpc (green). All three simulations self-regulate but exhibit two different feedback modes: a high power mode (~ 10^43 - 10^44 ergs/s) capable of altering the central r < 30 kpc, and a low power mode (~ 10^41 - 10^42 ergs/s) that cannot compensate for cooling in the halos of the MPG or BCG. (Bottom panels) Ratio of SN Ia heating to radiative cooling as a function of radius every 150 Myr during the evolution of each halo. In the SPG (left), AGN feedback promptly lowers the atmosphere’s density, enabling SN Ia heating to exceed radiative cooling from ∼0.5 to ∼5kpc. That state corresponds in time to the steady low power mode of self-regulation. The high power feedback mode in the MPG (middle) expands the galactic atmosphere, lowering its X-ray luminosity until SN Ia heating becomes comparable to radiative cooling near ∼1 kpc. AGN feedback then switches to a low-power mode that is insuf cient to replace radiative losses within ∼30 kpc, causing feedback to revert to a high-power mode at 1.2 Gyr, when radiative cooling once again exceeds SN Ia heating everywhere. In the BCG simulation (right), radiative cooling rapidly exceeds SNIa heating everywhere, fueling only the high power feedback mode. [Prasad et al., 2020, ApJ, 905, 50]

    spg-mpg-circulation-2022

    Time-averaged mass flow rates inside and outside of the jet-driven bipolar outflow during the full 1.5 Gyr simulation period for the Single Phase Galaxy (left) and Multiphase Galaxy (right) simulations. Here, we define the jet cone to be the region within θ=30° around the jet axis. Blue lines show the net gas mass that flows through radius 'r' within the jet cone. Red lines show the net gas mass that ows through radius 'r' outside of the jet cone. AGN feedback in these simulations drives large-scale circulation that generally flows outward along the jet axis and inward along directions far from the jet axis. The mean circulation rate at ∼10 kpc is ∼1 Msun/yr in the SPG simulation and∼ 30 Msun/yr in the MPG simulation. [Prasad et al., 2022, ApJ, 932, 18]

    Cool-Core Cycles and Phoenix

    spg-mpg-cluster-2020

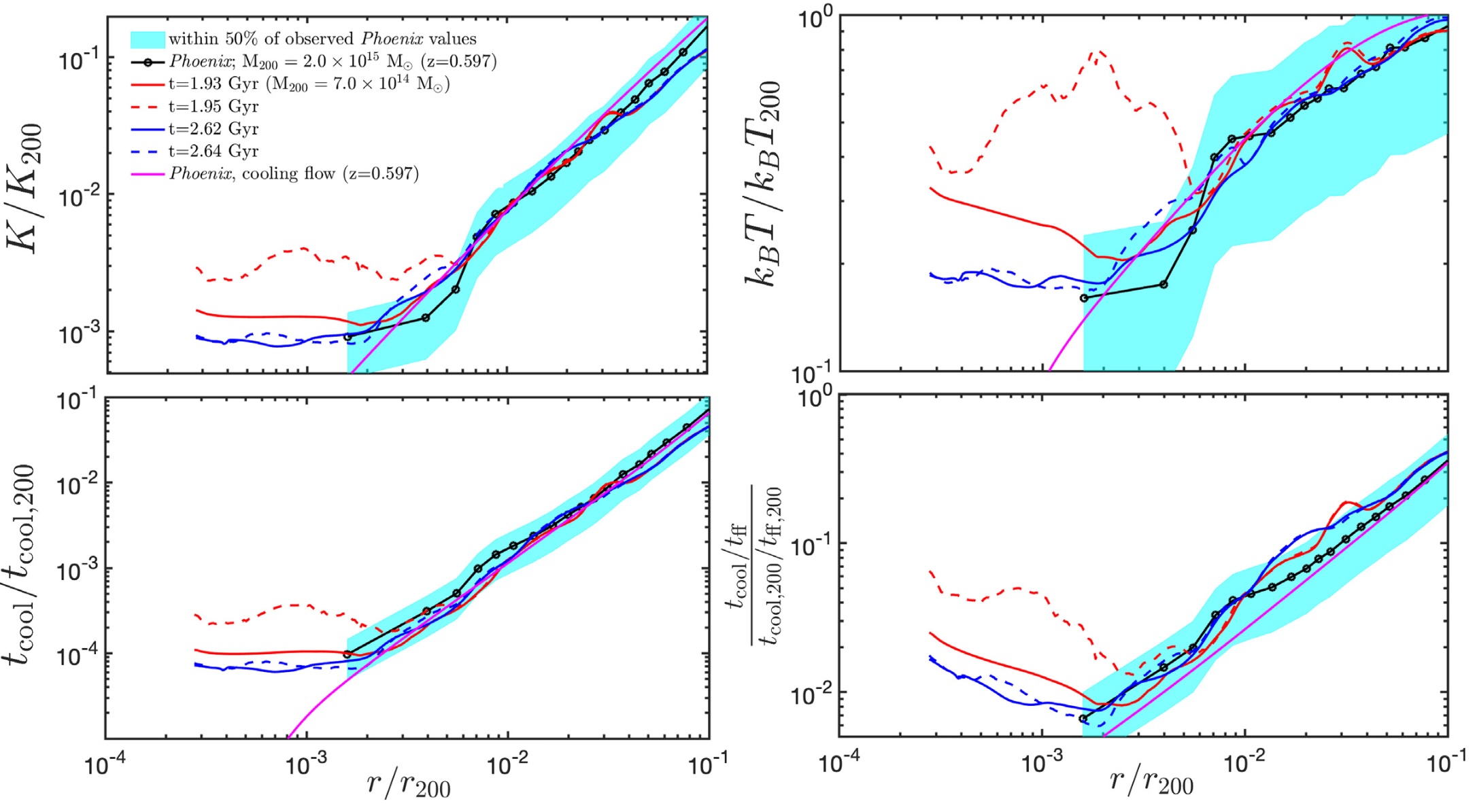
    Angle-averaged, emissivity-weighted (for 0.5–10 keV) and scaled entropy (top left panel), TkeV (top right panel), cooling time (tcool, lower left panel), and tcool/tff (lower right panel) radial profiles of four epochs from our simulation (red and blue curves). In our simulations, at t = 1.93 and 2.62 Gyr (solid curves), the simulated cluster is in the intense cooling phase of the cooling cycle while t = 1.95 and 2.64 Gyr (dashed curves) marks the end of the cooling cycle and the beginning of the jet outburst phase. The observed profiles for Phoenix (McDonald et al. 2019) and a pure cooling flow for a Phoenix mass model based on read-off from figs 10 and 11 of McDonald et al. (2019) are the solid black line with circle markers and solid magenta line respectively . The cyan shaded region represent the 50 per cent scatter around the observed Phoenix values. The profiles are scaled to their characteristic values indexed to r_200(M_200, z) (assuming WMAP cosmology): K_200(z) ≡ T_{keV,200}(z)n_{e,200}(z)−2/3; T_200(z) ≡ GM_{200}μmp/[2r_200(z)k_B]; t_{cool,200}(z) ≡ 1.5μ_{e}μ_{i}m_{p}k_{B}T_{200}(z)/[200μf_{b}ρ_{cr}(z)*Cooling_fn(T_{200})]; and t_{ff,200} ≡ sqrt[2r_{200}(z)/g_{200}(z)], where g_{200}(z)= GM_{200}/(r_{200})^2. Here, the symbols have their usual meaning. Once the differences in mass and redshift between the Phoenix cluster and our simulated cluster are accounted for through rescaling, simulation profiles at t = 2.62 Gyr are in excellent agreement with the Phoenix results. [Prasad et al., 2020, MNRAS, 495, 594]

    Case for hot-mode accretion Abell 2029

    spg-mpg-cluster-2020

    (Left Panel) Mass-weighted and angle-averaged radial profile for electron density with time (t = 0–1.0 Gyr) with a 10 Myr cadence for hot+cold-mode AGN feedback run with accretion efficiency ϵ = 0.01 for a A2029 analog cluster (M_{200}~10^{15} Msun). Plots show that the cluster core density (r < 30 kpc) maintains the initial density profile for the initial t∼ 300 Myr unlike the fiducial run as the hot-mode AGN feedback causes the AGN activity to switch on at the start of the simulation preventing the gas from accumulating in the core. (Right Panel) Total jet power (P_{jet}; solid blue line) averaged over δt = 10 Myr with time for the hot + cold-mode run. A red dashed line shows the hot-mode jet power, P_{Bondi} (= ϵ \dot{M}_{Bondi} c^2 ), with time for accretion efficiency ϵ = 0.01, same as the cold-mode feedback. The background cyan line represents the instantaneous total injected P_{jet} with time. Plots show that hot-mode AGN activity is enabled from the beginning of the simulation and dominates over the cold-mode feedback for most of the simulation run time. [Prasad et al., 2024, MNRAS, 531, 259]

    Anisotropic Thermal Conduction

    spg-mpg-cluster-2020

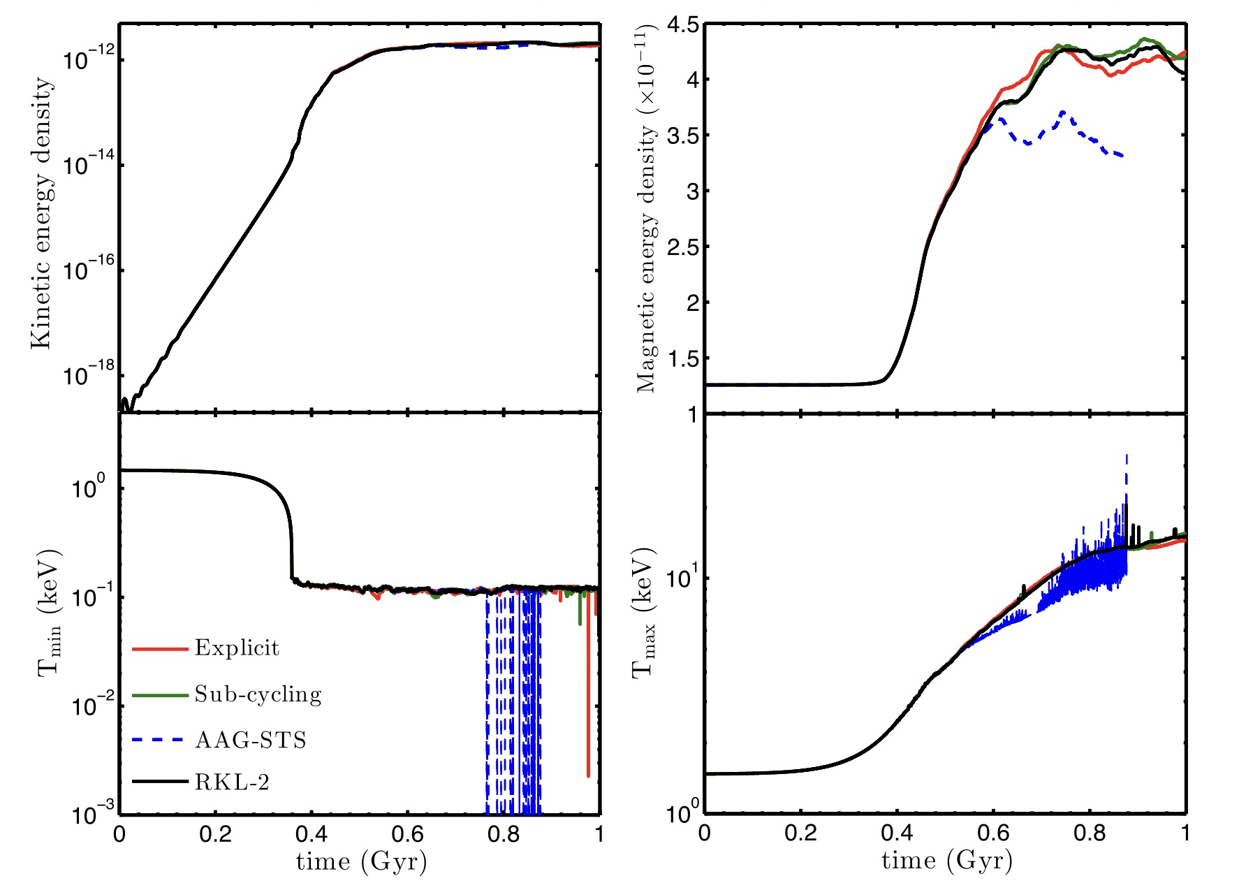
    The evolution of various quantities like kinetic energy density (ergs/cm^3), magnetic energy density (ergs/cm^3), the minimum and maximum temperature in the computational domain (T_{min} and T_{max}) with time using different methods for anisotropic conduction to study the local TI. Explicit (red solid line), sub-cycling (green solid line) and RKL-2 (black solid line) methods show similar time evolution, but AAG-STS (blue dashed line) starts to deviate in the non-linear stage. Notice the numerous spikes in Tmax and Tmin for AAG-STS, which are symptoms of numerical instability that blows up the code at 0.87 Gyr. These plots show that RKL-STS is a more robust method for modelling anisotropic conduction. Caveat : We impose a numerical temperature floor when the temperature becomes negative. [Vaidya B., Prasad D. et al., 2017, MNRAS, 472, 3147]

    Cool-Core Cycles

    spg-mpg-cluster-2020

    Velocity-radius distribution of the cold gas (T < 5x10^4 K) mass averaged from 1 to 4 Gyr. The right panel shows the v_{\phi} - r for the rotationally dominant gas and the left panel shows the v_{r} - r for the radially dominant gas. There is a lack of infalling high velocity cold gas clouds, showing that observed high velocity cold gas clouds in the intracluster medium are outflows caused by the AGN jets. In our hydro simulations, we see formation of rotationally supported galactic size disc which get decoupled from the feedback cycle. Such discs are observed in a few cool-core clusters like Hydra with similar rotational velocities. [Prasad et al., 2015, ApJ, 811, 108]

    spg-mpg-cluster-2020

    Average mass-weighted ⟨lz/|l|⟩ (bottom panel) and rms ⟨lz^2 /|l|2⟩^{1/2} (top panel) of cold gas crossing the inner boundary as a function of time for the fiducial NFW run. The dashed red lines are for all the cold gas crossing the inner boundary. The purple dot–dashed lines with stars show the average orientation of cold gas with |l| < 10^{28} cm^2/s and solid blue lines are for |l| <10^{29} cm^2/s. The orientation of cold gas with |l| < 10^28 cm^2/s changes on a short time-scale compared to the other two cases showing the stochastic nature of the low angular momentum cold gas which feeds the super massive black hole fueling powerful AGN outbursts. [Prasad et al., 2017, MNRAS, 471, 1531]

    spg-mpg-cluster-2020

    Molecular gas mass in centres of cool groups and clusters, ob- tained using CO observations, as a function of the SMBH mass. The filled circles represent detections and the triangles are upper limits. The cluster temperature is represented by colour (obtained from Cavagnolo et al. 2009, ApJS, 182, 12). There is a large scatter in the molecular gas mass for a given SMBH mass. Three vertical lines on extreme right denote the range of cold gas mass in our three simulations (measured from 1 Gyr till the end of the run, without accounting for cold gas depletion). A vertical line and an upper limit in extreme left are obtained from the simulations of Li et al., 2015, ApJ, 811, 73 with their feedback efficiency of 0.01 and 0.001. Star formation would help in reducing the total cold gas mass in the domain. [Prasad et al., 2017, MNRAS, 471, 1531]

    spg-mpg-cluster-2020

    (Left panel) The emissivity-weighted line-of-sight velocity dispersion (LOSVD), with time for 2–8 keV plasma (a proxy for Fe XXV line emission) and for 0.5–10 keV plasma within 30–60 kpc of the cool-core cluster run. The solid lines (the blue line is parallel to the jet direction, while the red line is perpendicular to the jet direction) represent the LOSVD for 2–8 keV gas. Dashed lines (the green line is perpendicular to the jet direction, while the magenta line is parallel to the jet direction) show the LOSVD for 0.5–10 keV gas. The horizontal purple dashed line marks the turbulent velocity in the ICM of Perseus Cluster as measured by Hitomi [Hitomi Collaboration, 2016, Nature, 535, 117]. (Right panel) The probability distribution function (PDF) of the emissivity-weighted line-of- sight velocity for the 2–8 keV gas. The solid black line and dotted–dashed magenta line are the time-averaged PDF between 1 and 4 Gyr along and perpendicular to the jet axis, respectively. The red and blue lines (the solid line is parallel, and the dotted–dashed line is perpendicular to the jet axis) show the PDF at t = 2.35 Gyr and t=2.1 Gyr, respectively. These times correspond to a trough and a peak in the LOSVD as seen in the left panel. [Prasad et al., 2018, ApJ, 863, 62]

    Movie Repo

    To be updated ....